MedComm:阜外-北大合作研究:肺动脉高压的全球挑战:疾病负担的时空异质性及政策启示!
时间:2025-05-06 12:11:32 热度:37.1℃ 作者:网络

肺动脉高压(Pulmonary Arterial Hypertension, PAH)疾病死亡率高,是心血管病领域的“癌症”,以肺血管阻力进行性增高致右心衰竭和死亡为特点。尽管PAH特异性药物的应用使5年生存率从34%提高到60%,但该病的临床管理和患者生存仍面临巨大挑战。深入探究肺动脉高压全球疾病负担在不同地域分布、年龄阶段、性别差异以及时间演变中的变化趋势及其内在驱动因素,具有重要的流行病学意义和公共卫生价值。
2025年4月24日,阜外医院熊长明团队和北京大学邹志勇团队合作在JCR Q1 &中科院双一区TOP杂志MedComm发表题为The challenge in burden of pulmonary arterial hypertension: a perspective from the Global Burden of Disease Study的文章,该研究证明了1990年至2021年全球PAH相关DALYs下降6.6%,但高SDI国家上升了13.9%,且未来负担将向老年人群和女性转移,并强调了区域间PAH负担的显著差异,呼吁制定针对性政策、改善医疗可及性,并加强早期检测策略,特别是在服务不足的地区。该研究为PAH疾病的认识和精准防控提供了十分重要的信息,对推动该领域的进展有着重要的意义和价值!

研究发现:
研究首先发现在1990至2021年间,PAH的全球DALYs降幅6.6%,但高SDI国家却增加了13.9%。全球DALYs的年龄标准化率(ASR)降幅37.9%。死亡人数从14,842.5增至22,020.5,高SDI地区增幅达76.6%,而死亡ASR则从3.5/百万降至2.7/百万,降幅22.9%。此外,PAH病例几乎翻倍,从10.6万增至19.2万,低SDI地区增幅最大,达1.18倍,而患病ASR保持在22.8/百万左右,中等和中低SDI地区略有上升。
年龄方面,从1990-2021年,早期以年轻人群(0-49岁)为主,但随着时间推移,老年人群(尤其是70岁以上)所占比例逐渐上升。这一趋势在高SDI国家表现得更为明显,而低SDI国家仍以年轻人群为主。
在性别差异方面,女性占全球患病总数的62.71%,然而在年轻人群(特别是0-14岁)中,男性的DALYs和死亡比例高于女性,这一现象在低SDI地区尤为突出。此外,近几十年来,高SDI国家的老年男性(50岁以上)患病人数显著增加。

1990-2021年儿童PAH(0-19岁)的流行病学分析显示,DALYs和死亡数在1岁以下儿童中最高,此后显著下降,过去30年间1岁以下儿童的相关指标全球下降62.6%。患病率总体随年龄增长而上升,10-19岁组较1990年增加约20%。在性别差异方面,10岁以下男性的DALYs和死亡率较高(尤其在低SDI国家),而10-19岁则以女性为主且呈上升趋势。地区差异方面,低SDI地区的疾病负担仍明显高于其他地区,需要更多关注。
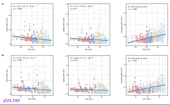
SDI和全民健康覆盖指数(UHCI)水平和DALYs和Death率负相关,但和患病率正相关。

对于年龄-时期-队列(APC)效应分析,0-5岁组DALYs显著下降;50岁以上DALYs明显上升,尤其在中等SDI国家;过去30年各SDI地区DALYs总体下降,男性降幅大于女性;1932年后出生人群DALYs明显改善,高SDI国家尤为明显。

到2050年,全球DALYs预计下降19.11%,死亡人数预计增加70%,尤其是女性人群,患病病例数预计翻倍,女性占比持续较高,DALYs和死亡率ASR预计下降,但患病率ASR保持稳定。
总结:
这项研究分析了1990-2021年全球PAH的疾病负担数据。在过去30年中,全球的DALYs数量下降了6.6%,ASR下降了37.9%。中国和印度负担最重,占全球总量约1/3。疾病负担逐渐从年轻人群转移到老年人群,尤其在高SDI国家表现明显。虽然儿童PAH(特别是1岁以下)的状况整体改善,但在低SDI国家仍需引起关注。此外,SDI和UHCI水平与DALYs和死亡率呈负相关,而与患病率呈正相关。为应对这些挑战,需加强低SDI地区的疾病识别和医疗设施,重视老年PAH患者的管理,特别是在高SDI国家。同时,加强国际合作,建立标准化的登记系统,并制定针对性的医疗政策,特别是在资源有限的国家,以有效应对PAH的负担。
原文链接:
https://onlinelibrary.wiley.com/doi/full/10.1002/mco2.70175

