Sci Rep:多种特应性疾病患者患膝骨关节炎的风险
时间:2025-05-07 12:10:55 热度:37.1℃ 作者:网络
膝骨关节炎(OA)在全球约有 2.5 亿人受其影响,预计到 2040 年,其患病率将翻倍。传统观点将OA视为磨损性关节炎,但越来越多的证据表明,炎症在其发病和进展过程中起着关键作用。这一认知转变为探索OA与其他炎症性疾病(尤其是特应性疾病,如哮喘、湿疹和过敏性鼻炎)之间的潜在联系开辟了新途径。

特应性疾病在全球范围内呈激增态势,过去五十年间,过敏性疾病和哮喘的发病率显著上升,在发达国家尤为明显。这些疾病与OA有共同常见的炎症通路,包括 NF-κB 和 MAPK 信号级联的激活,这些通路会持续引发炎症并导致组织退化。OA和特应性疾病中由促炎细胞因子驱动的慢性炎症,暗示着二者之间可能存在关联,但这一关联在OA研究中尚未得到充分探讨。
尽管已有证据表明特应性疾病与多种关节炎存在普遍联系,但与OA的具体关联仍缺乏深入研究。免疫系统失调(尤其是 Th2 细胞过度激活)和氧化应激增加是这两类疾病的共同特征,进一步强化了它们之间的潜在联系。此外,有观点认为,特应性疾病导致的活动受限可能引发体重增加或体力活动减少,从而间接增加膝骨关节炎的发病风险。本研究是首批在大规模人群中系统探究这一关联的研究之一,旨在揭示多种特应性疾病如何影响OA的发生,挑战传统骨关节炎研究范式,并为全身性炎症在OA发展中的作用提供新视角。
本项全国性队列研究旨在探讨单种及多种特应性疾病与九年间新发OA风险之间的关系。通过对 1138904 名 50 岁及以上个体的大规模队列分析,本研究力求为这一潜在关联提供有力证据。本研究不仅通过强调炎症是这些疾病的共同特征,重新审视了传统骨关节炎理论,还有望重塑综合护理策略。
方法:OA和特应性疾病均以慢性炎症为特征,但其潜在联系尚未明确。本研究利用韩国国民健康保险服务(NHIS)的数据,对 880300 名 50 岁及以上个体进行全国性队列研究,探究特应性疾病与OA发病风险增加是否相关。特应性疾病定义为因哮喘、过敏性鼻炎或特应性皮炎进行至少 3 次门诊就诊。通过 ICD-10 编码识别OA发病情况,并使用 Cox 比例风险模型估算风险比(HRs)。
结果:研究发现,患有特应性疾病的个体患OA的风险比无特应性疾病者高 36%(HR=1.36,95% CI:1.35–1.37)。研究还观察到剂量反应关系,患有多种特应性疾病的个体风险逐步增加(两种疾病:HR=1.44;三种疾病:HR=1.51)。亚组分析表明,这种关联在较年轻人群(50-59 岁)和男性中最为显著。
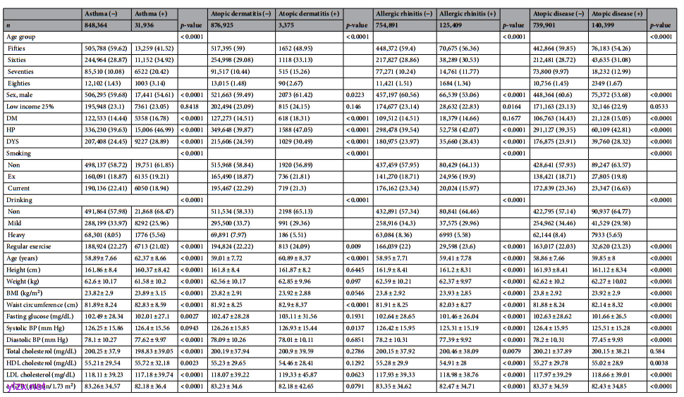
表1 特应性疾病研究人群的基线特征。连续变量表示为平均标准偏差。分类变量用数字和百分比表示。p值表示组间差异具有显著性。特应性疾病被定义为具有以下至少一种状况:哮喘、特应性皮炎或过敏性鼻炎。

表2 特应性疾病引起的膝骨关节炎的发病率和风险比。模式一:不调整;模型2:根据年龄和性别进行调整;模型3:根据年龄、性别、收入、吸烟、饮酒、体力活动、糖尿病、血脂异常和高血压进行调整。IR,发生率;HR,危害比。


图1 通过特应性疾病状态预测膝骨关节炎发病率的Kaplan-Meier曲线。Kaplan-Meier曲线显示了在9年的随访期内,膝骨关节炎(OA)的累积发生率,按特应性疾病状态分层。黑线代表没有特应性疾病的个体,而红线代表患有一种或多种特应性疾病(哮喘、特应性皮炎或过敏性鼻炎)的个体。

图2 特应性疾病导致的膝骨关节炎的发病率和风险比。该图显示了不同特应性疾病人群中膝关节骨关节炎的发病率(IR)和风险比(HR)。条形图代表发生率,而线条代表95%置信区间的风险比。数据根据年龄、性别、收入、吸烟、饮酒、体力活动、糖尿病、血脂异常和高血压进行调整。特应性疾病包括哮喘、过敏性鼻炎和特应性皮炎。
表3 特应性疾病对膝骨关节炎发病率和风险比的亚组分析。模型3:根据年龄、性别、收入、吸烟、饮酒、体力活动、糖尿病、血脂异常和高血压进行调整。IR,发病率。

结论:研究结果表明,特应性疾病与OA发病风险增加显著相关,且在年轻人群中关联性最强。未来需进一步研究特应性疾病特异性炎症在骨关节炎发展中的潜在作用,及其对靶向治疗的潜在意义。
原文出处:
Dojoon, Park; Youn-Ho, Choi; Kyungdo, Han;et al. Risk of knee osteoarthritis in patients with multiple atopic conditions: a nationwide study. Sci Rep. 2025 May 1;15(1):15293.

