European Radiology | 从结构到功能:钆对比剂延迟强化成像瘢痕影像组学联合 CMR 参数,改写 STEMI 患者左心室重构预测格局
时间:2025-05-07 12:08:21 热度:37.1℃ 作者:网络
左心室(LV)重构是 ST 段抬高型心肌梗死(STEMI)后心脏在结构和功能上的一种适应性改变,并且与不同的临床结局相关。在临床上,左心室重构可分为不良重构(此时左心室变得更趋近球形)和左心室逆向重构(r-LVR),后者是指通过经皮冠状动脉介入治疗(PCI)使左心室恢复至更典型的椭圆形形态。重要的是,左心室逆向重构通常与心脏功能改善和更好的预后相关,因为这涉及到心室结构和功能恢复到更典型的状态。识别出可能发生左心室逆向重构的患者,能使临床医生更有效地调整 PCI 术后的护理方案,将强化治疗集中于那些不太可能自然发生有益重构的患者身上。鉴于这些影响,早期预测左心室逆向重构对于 ST 段抬高型心肌梗死患者的风险评估和治疗优化至关重要。
心脏磁共振成像(CMR),尤其是钆对比剂延迟强化成像(LGE),对于评估 ST 段抬高型心肌梗死患者的心肌梗死范围和微血管损伤至关重要。钆对比剂延迟强化成像是评估心肌存活性的参考标准,有助于深入了解心肌和微血管的损伤程度。先前的研究已确定梗死面积、梗死区域峰值纵向位移(PLD)和微血管阻塞(MVO)是左心室逆向重构的独立预测因素。然而,预测性能仍有待提高。医学图像定量分析,尤其是影像组学,正在推动心脏健康领域的发展,特别是在 ST 段抬高型心肌梗死病例中。最近的研究已证明了影像组学在从钆对比剂延迟强化图像中提取隐藏结构细节方面的价值。同时,这些影像组学特征已被证明有助于更好地理解和管理各种心脏疾病,如肥厚型心肌病、心脏淀粉样变性(CA)和缺血性心肌病。然而,从钆对比剂延迟强化图像中提取的影像组学特征在预测左心室逆向重构方面的作用仍不明确。
此外,机器学习(ML)模型越来越多地用于解读心脏磁共振成像中复杂的影像组学特征,从而能够识别出对预测 ST 段抬高型心肌梗死患者左心室重构至关重要的细微模式。尽管具有潜力,但传统的机器学习模型由于可解释性有限,在临床应用中面临挑战。为了解决这一问题,诸如局部可解释模型无关解释(LIME)和夏普利加性解释(SHAP)等可解释人工智能方法正被应用,以提高模型的透明度,进而增强临床医生对预测模型的信任,并辅助诊断和预后决策。

最近,发表在European Radiology 上的一篇文章利用机器学习(ML)评估钆对比剂延迟强化(LGE)瘢痕影像组学特征在预测 ST 段抬高型心肌梗死(STEMI)患者左心室逆向重构(r-LVR)方面的附加价值。
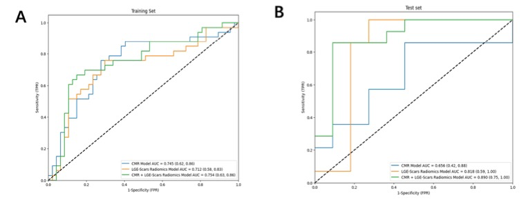
这项回顾性研究纳入了 105 例 ST 段抬高型心肌梗死患者,这些患者在经皮冠状动脉介入治疗(PCI)后的 7 天至 5 个月内,于 1.5T 或 3.0T 磁共振成像(MRI)扫描仪上接受了心脏磁共振成像(CMR)检查(时间范围为 2014 年 1 月至 2023 年)。使用由夏普利加性解释(SHAP)增强可解释性的 LightGBM 模型,对来自 LGE 瘢痕图像的影像组学特征和常规 CMR 标记物进行分析。患者被分为训练集(80 例)和测试集(25 例)。开发了三种预测模型:传统 CMR 模型、LGE 瘢痕影像组学模型,以及整合了两者的联合模型。使用受试者工作特征(ROC)曲线和曲线下面积(AUC)分析来评估模型性能。
在训练集中,传统 CMR 模型的 AUC 达到 0.745(95% 置信区间:0.62-0.86),LGE 瘢痕影像组学模型的 AUC 为 0.712(95% 置信区间:0.58-0.83),联合模型的 AUC 最高,为 0.754(95% 置信区间:0.63-0.86)。在测试集中,传统 CMR 模型的 AUC 降至 0.656(95% 置信区间:0.42-0.88),而 LGE 瘢痕影像组学模型提升至 0.818(95% 置信区间:0.59-1.00)。联合模型的 AUC 最高,为 0.890(95% 置信区间:0.75-1.00)。SHAP 分析突出了一些重要的预测因素,如左心室质量的梗死百分比和小波变换纹理特征。

图 r-LVR三种模型的综合性能评价。A, B ROC曲线比较了三个选定模型在训练集和测试集上预测逆转左心室重构(r-LVR)的性能。评估的模型包括临床CMR模型,基于LGE疤痕的放射组学模型,以及基于CMR和LGE疤痕的联合放射组学模型
在 LightGBM 模型中,将 LGE 瘢痕影像组学特征与传统 CMR 参数相结合,可提高对 ST 段抬高型心肌梗死患者左心室逆向重构的预测准确性,这有可能改善患者分层和实现治疗的个性化。
原文出处:
Xiuzheng Yue,Jianing Cui,Sicong Huang,et al.An interpretable radiomics-based machine learning model for predicting reverse left ventricular remodeling in STEMI patients using late gadolinium enhancement of myocardial scar.DOI:10.1007/s00330-025-11419-1

