BMC Urol:中国学者揭示前列腺体积对逆行松解神经血管束且保留Retzius间隙的机器人辅助腹腔镜根治性前列腺切除术的影响
时间:2025-04-29 12:13:43 热度:37.1℃ 作者:网络
如今,前列腺癌已成为最常见的恶性肿瘤之一。机器人辅助根治性前列腺切除术(RARP)是局限性前列腺癌的标准治疗方法。与传统开放手术和腹腔镜手术相比,RARP在肿瘤控制、勃起功能保留和尿控恢复方面具有显著优势。RARP有多种手术入路,如传统经前入路、经后入路、经腹膜外入路等。多项研究探讨了前列腺体积对RARP疗效的影响,其中大多数证据来源于采用传统经前入路或经腹膜外入路的研究。相比之下,经后入路的手术视野相对局限,在前列腺体积较大的病例中,手术技术难度更大。
保留Retzius间隙的机器人辅助根治性前列腺切除术于2010年被首次报道。与传统手术方法相比,该方法在尿控恢复方面具有更佳效果,但技术学习曲线较长,且手术操作空间狭小。
基于此,来自天津医科大学第二医院的牛远杰、王勇研究团队报告了一种新的手术技术,即逆行松解神经血管束且保留Retzius间隙的机器人辅助腹腔镜根治性前列腺切除术(RNRS-RARP)。该手术方案无需打开Retzius间隙,在前列腺包膜表面沿解剖层次进行神经血管束及前列腺前筋膜的逆行松解,术中无需使用Hem-o-lok止血夹。这一改良显著提高了患者的尿控恢复率。

本研究旨在通过回顾性分析,评估RNRS-RARP在不同前列腺体积下的围手术期、肿瘤学和功能结局。研究旨在明确前列腺体积是否会影响短期尿控恢复,并识别相关风险因素。此外,研究还建立了具有临床应用价值的列线图模型,用于预测患者的短期尿控恢复情况。
研究人员对2021年10月至2023年9月期间接受RNRS-RARP的298例患者的临床数据进行了回顾性分析。根据病理前列腺重量将患者分为三组:≤30克、30-50克和≥50克。研究人员对三组之间的围手术期和术后肿瘤学及功能结局进行了比较分析,以辨别差异。研究还分别对接受新辅助治疗的患者和未接受新辅助治疗的患者进行了分析。此外,还研究了RNRS-RARP后立即尿控的独立预测因素。
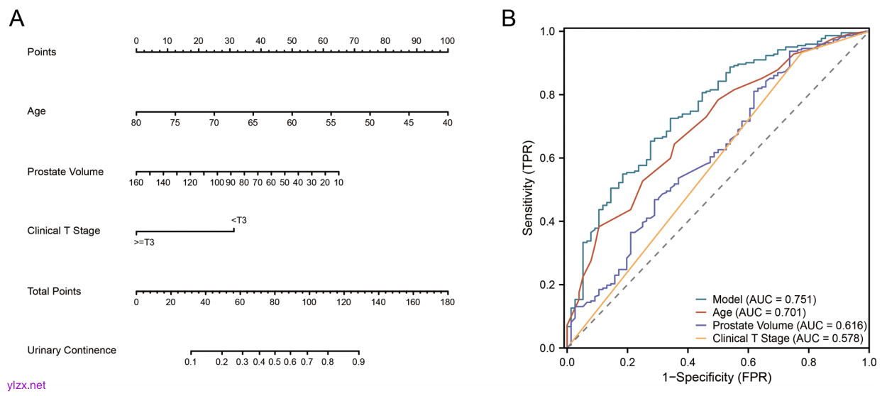
结果显示,前列腺体积较大的患者年龄显著较大,体重指数和前列腺特异性抗原(PSA)也较高(所有p<0.05)。前列腺体积较大的患者,手术台中位时间延长(65分钟vs.70分钟vs. 90分钟,p<0.01),中位估计失血量增加(95毫升vs.90毫升vs.100毫升)。留置导尿管时间、住院时间、术后并发症、手术切缘阳性、术后6个月PSA复发、术后1个月和3个月尿控率无显著差异。随着前列腺体积的增加,立即尿控率下降(80.0% vs. 77.5% vs. 64.2%,p=0.04)。前列腺体积(OR=0.98;95% Cl:0.97-0.99;p=0.03)、年龄(OR=0.90;95% Cl:0.86-0.95;p<0.01)和临床T分期(OR=0.31;95% Cl:0.13-0.74;p=0.01)是立即尿控的独立危险因素,预测模型的曲线下面积为0.75。

A. 不同前列腺体积下即刻尿控率的列线图模型 B. 本研究关于即刻尿控率的受试者工作特征(ROC)曲线
这些结果表明,无论前列腺体积如何,均可安全实施RNRS-RARP。随着前列腺体积的增加,手术台时间和估计失血量均趋于增加。然而,肿瘤学结局和并发症率相似。前列腺体积较大时,立即尿控率显著降低,前列腺体积也成为其独立预测因素。
原始出处:
Liu Y, Liu Z, Wang Z, Shao Y, Yang Z, Huang H, Wang Z, Fu Z, Wen S, Niu Y, Wang Y. The impact of prostate volume on Retzius-sparing robot-assisted laparoscopic radical prostatectomy with retrograde release of the neurovascular bundle. BMC Urol. 2025 Mar 27;25(1):59. doi: 10.1186/s12894-025-01745-3. PMID: 40148825; PMCID: PMC11948973.

