Lancet子刊:经口内镜下肌切开术与传统术式疗效相当,但胃食管反流风险需警惕
时间:2025-04-22 12:09:08 热度:37.1℃ 作者:网络
贲门失弛缓症(achalasia)是一种罕见的食管运动障碍性疾病,其特征是食管下括约肌(lower esophageal sphincter, LES)无法正常松弛,同时伴有食管体部蠕动功能丧失,导致吞咽困难、食物滞留和反流等症状。在治疗方面,传统的腹腔镜Heller肌切开术(laparoscopic Heller’s myotomy, LHM)联合Dor胃底折叠术长期以来被视为金标准。然而,近年来,经口内镜下肌切开术(per-oral endoscopic myotomy, POEM)作为一种微创手术方法迅速兴起,并以其较低的侵入性和良好的短期效果引起了广泛关注。这项研究由欧洲多个国家的研究中心合作完成。该研究于2025年3月发表于《The Lancet Gastroenterology & Hepatology》期刊。这项研究比较了POEM与LHM联合Dor胃底折叠术在治疗特发性贲门失弛缓症患者中的长期疗效和安全性。

这项研究是一项多中心、随机、开放标签、非劣效性试验,在六个欧洲国家(德国、意大利、捷克共和国、瑞典、荷兰和比利时)的八个医学中心展开。研究对象为年龄超过18岁且Eckardt症状评分大于3分的症状性原发性贲门失弛缓症患者。共有241名患者被随机分配至POEM组(120例)或LHM组(121例),实际接受治疗的患者分别为112例(POEM)和109例(LHM)。主要终点为术后2年的临床成功定义为Eckardt症状评分≤3且无需额外治疗。次要终点包括5年时的临床成功率、Eckardt症状评分、胃肠道生活质量指数(Gastrointestinal Quality of Life Index, GIQLI)、高分辨率测压显示的LES功能以及术后反流参数(如洛杉矶分类法下的反流性食管炎、pH监测结果及DeMeester临床评分)。所有分析均基于改良意向治疗(modified intention-to-treat, mITT)人群进行,并设定非劣效性界值为-12.5个百分点。
经过5年的随访,POEM组有75.0%(90/112例)的患者实现了临床成功,而LHM组这一比例为70.8%(87/109例)。两组间差异为4.2个百分点,表明POEM在控制贲门失弛缓症症状方面仍保持非劣效性。此外,两种手术方式对Eckardt症状评分的降低效果相似,平均评分下降幅度在两组间仅相差-0.29,不具统计学意义。两组患者在5年内GIQLI评分的变化无显著差异,提示两种手术方式对改善患者生活质量的作用相当。同样,通过高分辨率测压测量的LES综合松弛压力(integrated relaxation pressure, IRP)也未显示出明显的组间差异。然而,胃食管反流的情况仍然是一个关键问题。5年随访数据显示,POEM组中41%(26/63例)的患者出现反流性食管炎,而LHM组中这一比例为31%(18/58例)。严重反流性食管炎(洛杉矶分类B级及以上)在POEM组中占比14%(9/63例),高于LHM组的7%(4/58例)。另外,pH监测结果显示,POEM组患者的平均酸暴露时间为10.2%,远高于LHM组的5.5%。异常酸暴露时间的发生率在POEM组中为62%(28/45例),显著高于LHM组的31%(11/36例),差异达到31.7个百分点。从安全性角度来看,两组均未报告诸如消化性狭窄、Barrett食管或食管腺癌等严重并发症。此外,5年后两组患者的DeMeester临床评分基本一致,分别为1.3(POEM组)和1.1(LHM组),提示反流症状的发生率没有显著差异。

图1 临床成功率随时间的变化和组间差异

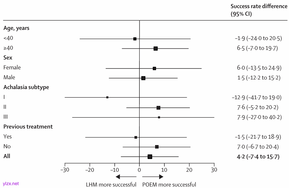
图2 5年临床成功绝对差异的事后亚组分析
这项研究表明,POEM作为贲门失弛缓症的一种微创治疗方法,在5年随访期内继续保持其非劣效性地位。然而,POEM术后胃食管反流的发生率相对较高,特别是在酸暴露时间和严重反流性食管炎方面表现得更为突出。这些发现不仅验证了POEM的长期有效性,还揭示了其潜在的风险。基于上述结果,研究人员建议在选择治疗方案时,医生需充分告知患者每种方法的优缺点,以便共同制定最适合个体情况的决策。未来的研究可进一步探索如何优化POEM技术以减少术后反流风险,从而提高患者的长期预后。
原文出处:
Hugova K, Mares J, Hakanson B, Repici A, von Rahden BHA, Bredenoord AJ, Bisschops R, Messmann H, Ruppenthal T, Mann O, Izbicki J, Harustiak T, Fumagalli Romario U, Rosati R, Germer CT, Schijven M, Emmermann A, von Renteln D, Dautel S, Fockens P, Boeckxstaens G, Rösch T, Martinek J, Werner YB. Per-oral endoscopic myotomy versus laparoscopic Heller's myotomy plus Dor fundoplication in patients with idiopathic achalasia: 5-year follow-up of a multicentre, randomised, open-label, non-inferiority trial. Lancet Gastroenterol Hepatol. 2025 May;10(5):431-441. doi: 10.1016/S2468-1253(25)00012-3. Epub 2025 Mar 17. PMID: 40112837.

