探索新的肝移植分配标准,基于CT的身体成分和衰弱评分显著增强术后预后预测能力
时间:2025-04-17 12:13:03 热度:37.1℃ 作者:网络
器官分配是肝移植过程中的关键环节。许多指标,如终末期肝病模型(MELD)评分,已被开发出来用于对患者进行术前分析,从而优化受者的选择。然而,术后的预后情况和生存率在判定移植是否成功以及最终实现捐赠器官的最大效用方面起着重要作用。预测移植后的预后情况仍然是一个挑战。目前,临床评估是收集患者信息和潜在风险因素的典型方法。人们也在不断开发或整合新的工具来改善健康预后。另外,影像学检查可用于评估患者的健康状况,并且有可能提供新的信息,与临床数据结合使用,以增强对患者健康状况的分析。
基于计算机断层扫描(CT)的身体成分测量可以为慢性病患者提供预后价值,并在心血管疾病和肝脏疾病方面显示出预测能力。身体成分可以通过影像学检查,依据多种因素进行量化,如脂肪组织、肌肉质量和器官体积等。无论采用何种影像学检查方式,先前的研究都表明,一些身体成分测量指标可以预测肝移植受者的生存率,其中肌肉相关指标的测量尤其具有价值。然而,关于肌肉密度(肌肉脂肪变性)和肌肉面积的影响,已有研究报告了相互矛盾的结果。回顾性研究还发现,基于脂肪的测量指标,如内脏脂肪组织(VAT)和皮下脂肪组织(SAT)面积,对死亡率和移植物衰竭具有预测价值。
目前,肝移植的分配是基于终末期肝病模型(MELD)评分所代表的医疗紧急程度来进行的。尽管 MELD 评分在预测移植前的预期寿命方面具有很高的准确性,但总体而言,它与移植后的生存率并无相关性。此外,器官获取和移植网络(OPTN)最近达成的共识支持将移植结果纳入分配系统作为必要因素。虽然肌肉减少症被视为移植结果的一个潜在决定因素,但对于移植后的长期存活情况,目前还没有被广泛接受的分配标准。因此,寻找具有预后价值的患者特征对于确定未来的肝移植受者至关重要。
最近,人们尝试改进移植前的临床评估,以便更好地对患者进行分层并优化术后预后。衰弱是一种对生理机能和储备能力的衡量指标,已被证实对移植前和移植后的生存率都具有很强的预测性,但在诊断方面存在较大的临床负担,要可靠地获取相关数据有些繁琐。弗里德衰弱表型的提出是为了尝试对衰弱的定义进行标准化,本研究使用该表型来定义衰弱人群。将这一评分纳入术前评估可以优化移植受者的预后。衰弱这一指标特别值得关注,因为我们工具包中的身体成分测量指标有可能涵盖多个相关标准。

最近,发表在European Radiology 上的一篇文章量化了基于完全自动化 CT 的身体成分指标和临床衰弱数据在预测肝移植受者术后预后方面的潜力。
将支持人工智能的身体成分分析工具应用于回顾性队列中首次接受 deceased-donor(已故供者)肝移植受者的移植前腹部 CT 扫描图像。临床衰弱数据(弗里德衰弱评分)则从已建立的移植数据库中获取。根据风险最高的四分位数与其他三个四分位数合并后的情况,分析经过年龄和性别校正的风险比(HRs)。同时,在单变量和多变量情况下进行受试者工作特征曲线下面积(ROC AUC)分析。
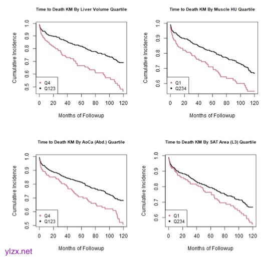
研究纳入了 2005 年至 2021 年间的 598 名肝移植受者(中位年龄为 56 岁 [四分位距,49-61 岁];男性 383 名 / 女性 215 名)。移植后的平均临床随访时间为 8.6±4.5 年,期间观察到 224 例死亡(平均间隔为移植后 5.3±3.9 年)和 246 例移植物衰竭(平均间隔为移植后 4.7±4.0 年)。移植后生存的单变量风险比中,肌肉衰减为 1.53(95% 置信区间,1.14-2.06),主动脉阿加斯顿评分为 1.66(95% 置信区间,1.24-2.22),皮下脂肪组织(SAT)面积为 1.35(1.02-1.80),肝脏体积为 1.82(1.35-2.46)。对于符合衰弱标准的受者,风险比为 2.14(1.08-4.22)。使用肝脏体积、主动脉阿加斯顿评分和肌肉衰减来预测死亡率的多变量 10 年 ROC AUC 为 0.675。临床衰弱评估的单变量 10 年 ROC AUC 为 0.601,但与 CT 测量指标结合后提高到了 0.878。

图 死亡时间图比较最高风险四分位数与其他四分位数的自动CT生物标志物肝体积、L3骨骼肌密度、腹主动脉Agatston评分和L3皮下脂肪面积
本项研究表明,通过自动化 CT 测量的肌肉密度(肌肉脂肪变性)、主动脉钙化、皮下脂肪和肝脏体积等指标,能够预测肝移植受者的死亡率。衰弱情况同样具有预测性。结合 CT 测量指标和临床衰弱评估具有互补性。
原文出处:
Daniel Liu,David Ji,John W Garrett,et al.Automated abdominal CT imaging biomarkers and clinical frailty measures associated with postoperative deceased-donor liver transplant outcomes.DOI:10.1007/s00330-025-11523-2

