Molecular Psychiatry:探索阿尔茨海默病早期脑衰老与胶质细胞、突触功能关联
时间:2025-04-15 12:10:47 热度:37.1℃ 作者:网络
阿尔茨海默病(AD)和其他神经退行性疾病中已发现加速的脑衰老现象,但此前尚无研究探讨AD特定病理生理通路与生物脑衰老之间的关系。本研究旨在探索胶质细胞反应性和突触功能障碍是否与阿尔茨海默病连续体最早阶段的生物脑衰老相关,并评估这些机制对认知衰退的影响。

研究纳入了来自ALFA+研究的380名认知未受损个体,通过机器学习算法预测其脑年龄,并计算脑年龄与实足年龄的差值(脑年龄差)。通过横断面线性回归分析,评估脑年龄差与脑脊液(CSF)中突触功能障碍标志物(如神经颗粒素、GAP43、突触结合蛋白-1等)、胶质细胞反应性标志物(如sTREM2、YKL-40、GFAP等)及炎症标志物(如白细胞介素-6)的关联。此外,研究还通过中介分析探讨了基线脑年龄差与纵向认知衰退之间的机制,并在ADNI研究队列(152名认知未受损和310名轻度认知障碍个体)中验证了结果。

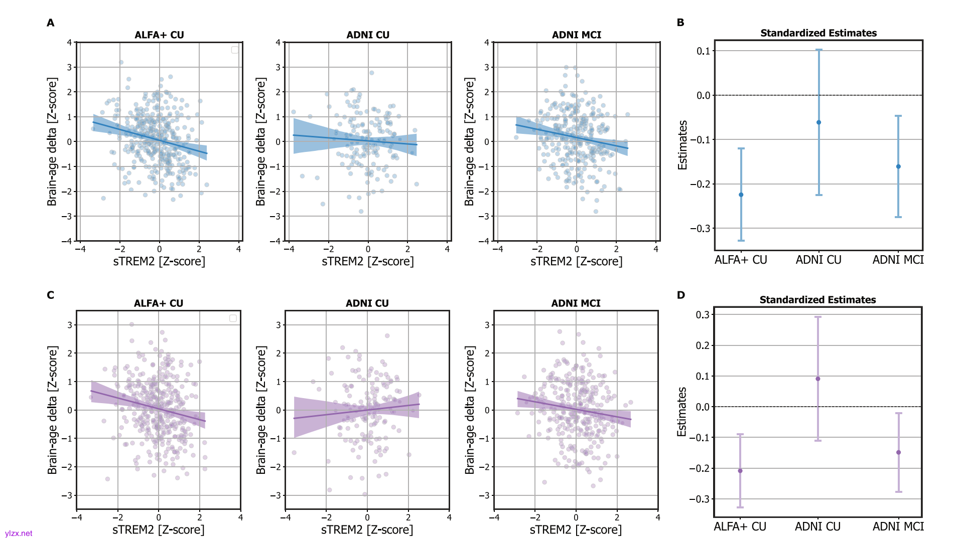
图1:ALFA+和ADNI参与者中CSF sTREM2与脑年龄差的关联
研究发现,在调整AD病理因素后,较高的CSF sTREM2水平与较年轻的脑年龄显著相关,这一关联在ALFA+认知未受损个体和ADNI轻度认知障碍个体中均得到验证。此外,CSF sTREM2完全中介了脑年龄差与认知衰退之间的关联,表明sTREM2相关的保护性小胶质细胞状态可能独立于AD病理,对早期AD阶段的认知衰退变异性具有重要影响。

图2:CSF sTREM2在ALFA+认知未受损个体中完全中介脑年龄差与认知衰退的关联
研究还发现,脑年龄差与突触标志物(如GAP43、S100b和突触结合蛋白-1)的关联在调整AD病理后不再显著,提示这些关联可能受AD病理驱动。而AD特征(反映AD易感脑区萎缩的指标)与胶质或突触标志物的关联仅在淀粉样蛋白阳性个体中显著,表明脑年龄差和AD特征可能捕获了不同的病理机制。
原始出处:
Cumplido-Mayoral, I., Sánchez-Benavides, G., Vilor-Tejedor, N. et al. Neuroimaging-derived biological brain age and its associations with glial reactivity and synaptic dysfunction cerebrospinal fluid biomarkers. *Mol Psychiatry* (2025). https://doi.org/10.1038/s41380-025-02961-x

