GUT:SPHINX试验揭示,内镜下括约肌切开术未能显著降低全覆膜自膨式金属支架置入后胰腺炎风险
时间:2025-04-10 12:16:24 热度:37.1℃ 作者:网络
远端恶性胆道梗阻(MBO)由胆管癌、胰腺癌以及壶腹周围癌等引起,由于早期诊断困难,只有约20%的患者在确诊时可以考虑手术治疗,绝大多数出现黄疸等症状时已经失去手术机会,其可继发胆道感染、肝功能衰竭及全身衰竭等症状,有效的胆道引流对改善患者症状和预后十分重要。经内镜逆行胰胆管造影术(ERCP)结合全覆膜自膨式金属支架(FCSEMS)置入是治疗疑似MBO患者的首选方法。然而,FCSEMS的放置与较高的术后胰腺炎(PEP)风险相关。为了降低这一风险,内镜下括约肌切开术(endoscopic sphincterotomy, EST)被认为可能是一种有效的预防措施。然而,EST是否确实在这一人群中具有保护作用尚无明确证据。本文所报道的研究由荷兰胰腺癌研究组主导完成,于2025年1月发表于《Gut》期刊(IF:23.1)。该研究团队设计了一项多中心随机对照试验(SPHINX),比较了在FCSEMS置入前进行EST与不进行EST的效果差异,以期找到一种能够有效降低PEP风险的干预策略。

这项研究是一项多中心、随机对照的优效性试验,共纳入17家医院的患者,研究对象为疑似远端MBO并接受ERCP的患者。患者在ERCP过程中被随机分为两组:一组接受EST(括约肌切开组),另一组不接受EST(对照组)。主要终点为30天内的PEP发生率,定义为术后出现持续性腹痛、血清淀粉酶或脂肪酶升高≥正常上限3倍的情况。次要终点包括其他与手术相关的并发症(如出血、穿孔、胆管炎、胆囊炎等)以及30天内的死亡率。此外,研究人员还进行了中期分析,在完成50%的患者随访后评估了数据的有效性。所有统计分析均采用意向性治疗(intention-to-treat, ITT)原则,以确保结果的稳健性。研究的具体实施过程中,所有操作均由经验丰富的内镜医师完成,同时对患者进行了严格的随访记录,包括术后症状、实验室指标以及影像学检查结果。此外,研究还采用了双盲设计,以减少偏倚对结果的影响。
图1 研究流程图
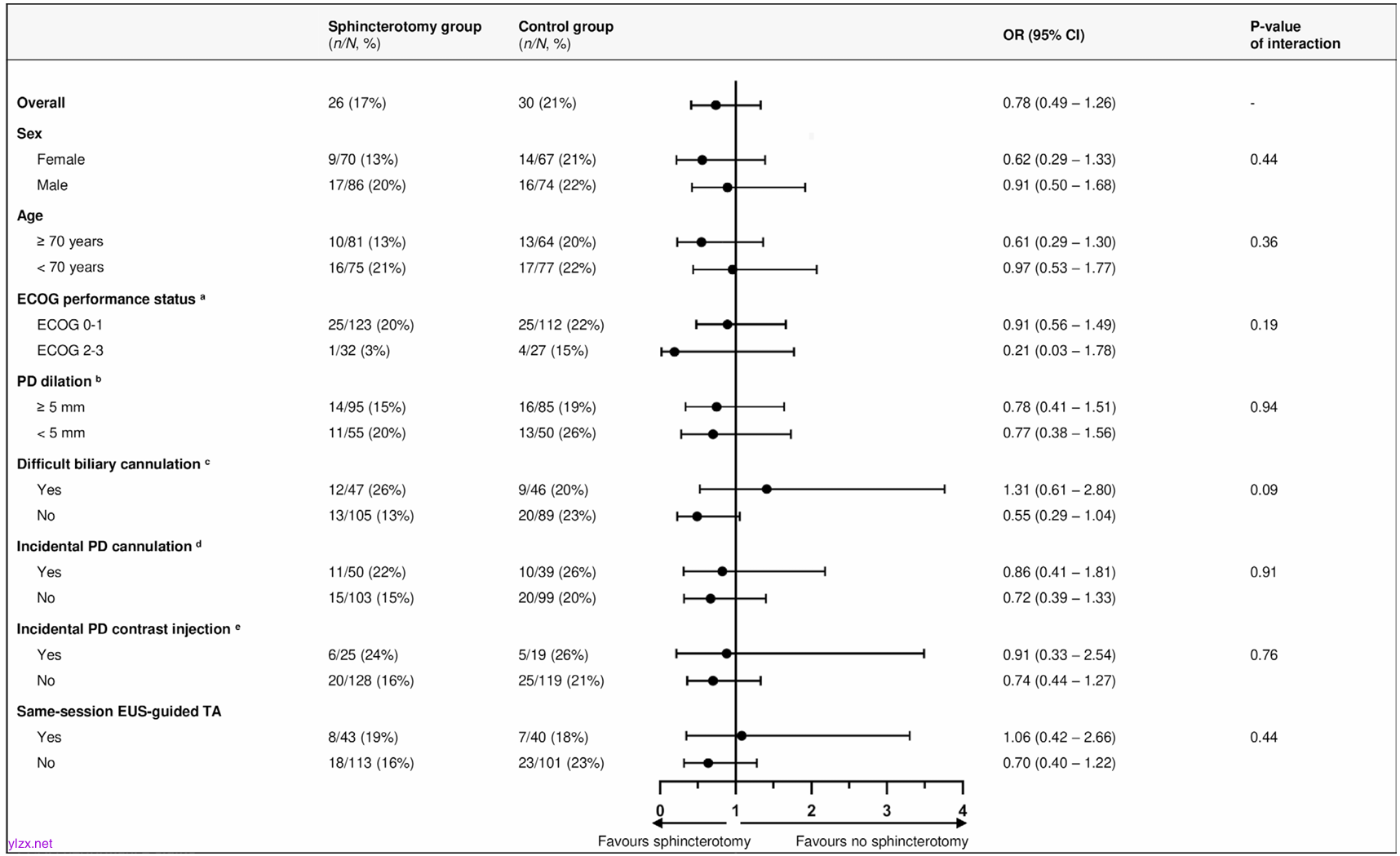
从2016年5月到2023年6月,共有297名患者被纳入ITT分析,其中括约肌切开组156名,对照组141名。然而,在完成中期分析后,由于无效性(futility),研究被提前终止。结果显示,PEP的发生率在两组之间没有显著差异。具体而言,括约肌切开组中有26例(17%)发生PEP,而对照组中有30例(21%)发生PEP,相对风险为0.78(95% CI 0.49–1.26,p=0.37)。这表明EST并未显著降低PEP的风险。此外,两组在其他次要终点方面也未显示出明显差异,包括出血、穿孔、胆管炎、胆囊炎以及30天内的死亡率。进一步的亚组分析显示,无论患者的年龄、性别、基础疾病状态(如是否存在胰腺炎病史)如何,EST在降低PEP风险方面的效果均不显著。这进一步支持了研究的主要结论,即EST并不优于不进行EST。

图2 主要和次要结局

图3 各亚组PEP风险
这项多中心随机对照试验(SPHINX)的结果表明,在疑似远端MBO患者中,EST并不能显著降低FCSEMS置入后的PEP风险。因此,目前尚无足够的证据推荐在FCSEMS置入前常规进行EST。
原文出处:
Onnekink AM, Gorris M, Bekkali NL, Bos P, Didden P, Dominguez-Muñoz JE, Friederich P, van Halsema EE, Hazen WL, van Huijgevoort NC, Inderson A, Jacobs MA, Koornstra JJ, Kuiken S, Scheffer BC, Sloterdijk H, van Soest EJ, Venneman NG, Voermans RP, de Wijkerslooth TR, Wonders J, Zoutendijk R, Zweers SJ, Fockens P, Verdonk RC, van Wanrooij RLJ, Van Hooft JE; Dutch Pancreatic Cancer Group. Endoscopic sphincterotomy to prevent post-ERCP pancreatitis after self-expandable metal stent placement for distal malignant biliary obstruction (SPHINX): a multicentre, randomised controlled trial. Gut. 2025 Jan 17;74(2):246-254. doi: 10.1136/gutjnl-2024-332695. PMID: 39389757.

